Chapter 8 Recursion Intro Part 2 OnlyFans 2026: Private Leaks & Hidden Content

OnlyFans Profile Coverage

  1. Exclusive Chapter 8 Recursion Intro Part 2 OnlyFans 2026: Private Leaks & Hidden Content OnlyFans Content
  2. Hidden Media & Subscriber Secrets
  3. Private Videos & Photo Leaks
  4. Leaked Content & Media Gallery
  5. Must-See Profile Updates

Exclusive Chapter 8 Recursion Intro Part 2 OnlyFans 2026: Private Leaks & Hidden Content OnlyFans Content

Leaked Intro to CJ Chapter 4 Part 2 - Kahoot! Quiz OnlyFans
Curious about what Chapter 8 Recursion Intro Part 2 OnlyFans 2026: Private Leaks & Hidden Content is hiding behind their OnlyFans paywall? We've revealed exclusive insights, leaked content trends, and subscriber secrets for Chapter 8 Recursion Intro Part 2 OnlyFans 2026: Private Leaks & Hidden Content. Get a sneak peek at the most talked-about private media and hidden profile details that are breaking the internet.

Hidden Media & Subscriber Secrets

Uncensored Intro to CJ Chapter 8 Part 2 - Kahoot! Quiz Videos
Discover the most requested content from Chapter 8 Recursion Intro Part 2 OnlyFans 2026: Private Leaks & Hidden Content's OnlyFans account. From VIP interactions to custom PPV requests, find out why thousands of subscribers are hooked on their premium feed.

Private Videos & Photo Leaks

Leaked Intro to CJ Chapter 8 Part 1 - Kahoot! Quiz Videos
Stay updated on Chapter 8 Recursion Intro Part 2 OnlyFans 2026: Private Leaks & Hidden Content's latest uploads and posting frequency. Whether it's exclusive photosets or uncensored clips, we track the media releases that keep fans coming back for more.

Exclusive Ce modèle OnlyFans a reçu 4,7 millions d'euros de la part d'un seul ... Media
Ce modèle OnlyFans a reçu 4,7 millions d'euros de la part d'un seul ...
PSYC 0318 Start Here Intro Part 2 Archive
PSYC 0318 Start Here Intro Part 2
CS106B Mazes Media
CS106B Mazes
Rare Anon 🔞 Interactive goal 75% on Twitter: "🫧 Intro part 2 🫧" Archive
Anon 🔞 Interactive goal 75% on Twitter: "🫧 Intro part 2 🫧"
Rare soundsasse - Blog Archive
soundsasse - Blog
Rare Chapter 4 - Recursion | PDF | Recursion | Algorithms OnlyFans
Chapter 4 - Recursion | PDF | Recursion | Algorithms
Chapter_6_Recursion | PDF | Recursion | Iteration Archive
Chapter_6_Recursion | PDF | Recursion | Iteration
Exclusive Chapter8 Recursion | PDF OnlyFans
Chapter8 Recursion | PDF
Exclusive Onlyfans Customizable Video Intro| Perfect for Onlyfans, Fansly, Cam ... OnlyFans
Onlyfans Customizable Video Intro| Perfect for Onlyfans, Fansly, Cam ...
Rare dddbrii OnlyFans - Free Trial | Profile, Earnings, Stats, Socials ... Archive
dddbrii OnlyFans - Free Trial | Profile, Earnings, Stats, Socials ...
Exclusive Chapter 8: Recursion Intro Part 2 | Mrs. Elia's AP Computer Science OnlyFans
Chapter 8: Recursion Intro Part 2 | Mrs. Elia's AP Computer Science
Rare Simple Onlyfans Customizable Video Intro| Perfect for Onlyfans, Fansly ... Archive
Simple Onlyfans Customizable Video Intro| Perfect for Onlyfans, Fansly ...

Leaked Content & Media Gallery

This section aggregates publicly referenced leaked media and content associated with the creator. We source information from social media mentions, community forums, and public reporting. We do not host or distribute copyrighted content.

Last Updated: April 4, 2026

Must-See Profile Updates

Leaked Intro part 2 | 𝕃𝕒𝕦𝕣𝕖𝕟_𝕄𝕒𝕩𝕨𝕖𝕝𝕝 𝔹𝕝𝕠𝕘 Videos
For 2026, Chapter 8 Recursion Intro Part 2 OnlyFans 2026: Private Leaks & Hidden Content remains one of the most in-demand OnlyFans creators. Check back for the latest content leaks and see why this creator is dominating the platform.

Disclaimer: This page is for informational and entertainment purposes only. Content insights are based on publicly available signals and community trends.

Related OnlyFans Profiles

🧠 Recursive Function in Python – Part 2 | Factorial Explained Step-by-Step OnlyFans Iteration and Recursion/Class11/Chapter 8 part 2 OnlyFans 11th comp.science ch 8 Iteration and recursion part 2 OnlyFans AP Calculus Section 8.1 day 2 recursive sequence OnlyFans Python Programming Tutorial | Recursive Functions Part 2/2 OnlyFans Week 7: Chapter 8 Recursion OnlyFans 8.2: Fractal Recursion - The Nature of Code OnlyFans Algebra 2 – Recursion and Iteration, part 2 of 2 OnlyFans Inside Her Mind: Lauren Compton’s Secret OnlyFans Reveal Takes Off OnlyFans Kristy Sarah Scott’s $18 Million Triumph – The Rising Actress’s Financial Tow Path! OnlyFans Matt Jones Obit Uncovered: The Secrets No One Spoke About Before He Died! OnlyFans This Is What Happens When A Whistleblower Reveals The Unthinkable OnlyFans What REALLY Happened With The Fawkslily OnlyFans Leak? Experts Reveal All. OnlyFans The Sacred Meets The Strategic: The Unexpected Value Of VATICAN Unrevealed OnlyFans Inside Fatima Diame’s $ Empire – Redefining Success, Billionaires, And Her $+ Fortune! OnlyFans 33. The Hidden Dangers Of Knoxville Craigslist – You Need To Know This. OnlyFans
Sponsored
Sponsored
🧠 Recursive Function in Python – Part 2 | Factorial Explained Step-by-Step

🧠 Recursive Function in Python – Part 2 | Factorial Explained Step-by-Step

Coverage: OnlyFans Leaks | Private Content: $35K - $83K/month

Understand How

View Profile
Iteration and Recursion/Class11/Chapter 8 part 2

Iteration and Recursion/Class11/Chapter 8 part 2

Coverage: OnlyFans Leaks | Private Content: $53K - $89K/month

Iteration and Recursion/Class11/Chapter 8 part 2

View Profile
Sponsored
11th comp.science ch 8 Iteration and recursion part 2

11th comp.science ch 8 Iteration and recursion part 2

Coverage: OnlyFans Leaks | Private Content: $47K - $87K/month

Video from RATHANA MHSS PANRUTI.

View Profile
AP Calculus Section 8.1 day 2 recursive sequence

AP Calculus Section 8.1 day 2 recursive sequence

Coverage: OnlyFans Leaks | Private Content: $7K - $17K/month

AP Calculus

View Profile
Python Programming Tutorial | Recursive Functions Part 2/2

Python Programming Tutorial | Recursive Functions Part 2/2

Coverage: OnlyFans Leaks | Private Content: $81K - $105K/month

Want all our free Python Training Videos? Download our free iPad app at ...

View Profile
Sponsored
Week 7: Chapter 8 Recursion

Week 7: Chapter 8 Recursion

Coverage: OnlyFans Leaks | Private Content: $58K - $109K/month

eC Academy ( http://eCAcademy.US ) Elite On-line Computer Science Education Help you get prepared from high school to full ...

View Profile
8.2: Fractal Recursion - The Nature of Code

8.2: Fractal Recursion - The Nature of Code

Coverage: OnlyFans Leaks | Private Content: $33K - $79K/month

This video looks at how to write functions in Processing that call themselves (

View Profile
Algebra 2 – Recursion and Iteration, part 2 of 2

Algebra 2 – Recursion and Iteration, part 2 of 2

Coverage: OnlyFans Leaks | Private Content: $79K - $101K/month

In the sequel to

View Profile
Recursion Tutorial Part 2 | Coding Ninjas

Recursion Tutorial Part 2 | Coding Ninjas

Coverage: OnlyFans Leaks | Private Content: $62K - $67K/month

Get COURSES For FREE Using This Scholarship Test. Register Here Now: ...

View Profile
Class 11 Computer Science Unit-2, Chapter-8 Iteration and Recursion (Part-2)

Class 11 Computer Science Unit-2, Chapter-8 Iteration and Recursion (Part-2)

Coverage: OnlyFans Leaks | Private Content: $80K - $133K/month

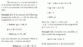
The students can understand the concepts of Invariants and its Examples,

View Profile
Python - Lesson #11 - Module 2 Chapter 5 - Recursion - Part 2

Python - Lesson #11 - Module 2 Chapter 5 - Recursion - Part 2

Coverage: OnlyFans Leaks | Private Content: $57K - $67K/month

In this video I demonstrate the Python - Lesson #11 - Module

View Profile
Recursive Formulas For Sequences

Recursive Formulas For Sequences

Coverage: OnlyFans Leaks | Private Content: $23K - $69K/month

This algebra video tutorial provides a basic

View Profile
What is Recursive Backtracking?

What is Recursive Backtracking?

Coverage: OnlyFans Leaks | Private Content: $63K - $69K/month

What is

View Profile